The Calculus of Logic by George Boole, is part of the HackerNoon Books Series. You can jump to any chapter in this book here. Cambridge and Dublin Mathematical Journal
Cambridge and Dublin Mathematical Journal - Vol. III (1848), pp. 183-98
In a work lately published[1], I have exhibited the application of a new and peculiar form of Mathematics to the expression of the operations of the mind in reasoning. In the present essay I design to offer such an account of a portion of this treatise as may furnish a correct view of the nature of the system developed. I shall endeavour to state distinctly those positions in which its characteristic distinctions consist, and shall offer a more particular illustration of some features which are less prominently displayed in the (p. 184)[2] original work. The part of the system to which I shall confine my observations is that which treats of categorical propositions, and the positions which, under this limitation, I design to illustrate, are the following:
(1) That the business of Logic is with the relations of classes, and with the modes in which the mind contemplates those relations.
(2) That antecedently to our recognition of the existence of propositions, there are laws to which the conception of a class is subject,—laws which are dependent upon the constitution of the intellect, and which determine the character and form of the reasoning process.
(3) That those laws are capable of mathematical expression, and that they thus constitute the basis of an interpretable calculus.
(4) That those laws are, furthermore, such, that all equations which are formed in subjection to them, even though expressed under functional signs, admit of perfect solution, so that every problem in logic can be solved by reference to a general theorem.
(5) That the forms under which propositions are actually exhibited, in accordance with the principles of this calculus, are analogous with those of a philosophical language.
(6) That although the symbols of the calculus do not depend for their interpretation upon the idea of quantity, they nevertheless, in their particular application to syllogism, conduct us to the quantitative conditions of inference.
It is specially of the two last of these positions that I here desire to offer illustration, they having been but partially exemplified in the work referred to. Other points will, however, be made the subjects of incidental discussion. It will be necessary to premise the following notation.
The universe of conceivable objects is represented by 1 or unity. This I assume as the primary and subject conception. All subordinate conceptions of class are understood to be formed from it by limitation, according to the following scheme.


and so on.
In like manner we shall have

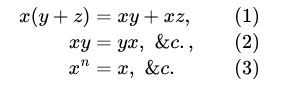
Furthermore, from consideration of the nature of the mental operation involved, it will appear that the following laws are satisfied.
Representing by x, y, z any elective symbols whatever,

From the first of these it is seen that elective symbols are distributive in their operation; from the second that they are commutative. The third I have termed the index law; it is peculiar to elective symbols.
The truth of these laws does not at all depend upon the nature, or the number, or the mutual relations, of the individuals included in the different classes. There may be but one individual in a class, or there may be a thousand. There may be individuals common to different classes, or the classes may be mutually exclusive. All elective symbols are distributive, and commutative, and all elective symbols satisfy the law expressed by (3).
These laws are in fact embodied in every spoken or written language. The equivalence of the expressions "good wise man" and "wise good man," is not a mere truism, but an assertion of the law of commutation exhibited in (2). And there are similar illustrations of the other laws.
With these laws there is connected a general axiom. We have seen that algebraic operations performed with elective symbols represent mental processes. Thus the connexion of two symbols by the sign + represents the aggregation of two classes into a single class, the connexion of two symbols xy as in multiplication, represents the mental operation of selecting from a class Y those members which belong also to another class X, and so on. By such operations the conception of a class is modified. But beside this the mind has the power of perceiving relations of equality among classes. The axiom in question, then, is that if a relation of equality is perceived between two classes, that relation remains unaffected when both subjects are equally modified by the operations above described. (A). This axiom, and not "Aristotle's dictum," is the real foundation of all reasoning, the form and character of the process being, however, determined by the three laws already stated.

The four categorical propositions upon which the doctrine of ordinary syllogism is founded, are

We shall consider these with reference to the classes among which relation is expressed.


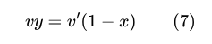
E. In the proposition, No Ys are Xs, the negative particle appears to be attached to the subject instead of to the predicate to which it manifestly belongs [3] We do not intend that those things which are not-Ys are Xs, but that things which are Ys are not-Xs. Now the class not-Xs is expressed by 1 - x; hence the proposition No Ys are Xs, or rather All Ys are not-Xs, will be expressed by

I. In the proposition Some Ys are Xs , or Some Ys are Some Xs, we might regard the Some in the subject and the Some in the predicate as having reference to the same arbitrary class V, and so write

but it is less of an assumption to refrain from doing this. Thus we should write


O. Similarly, the proposition Some Ys are not-Xs, will be expressed by the equation

It will be seen from the above that the forms under which the four categorical propositions A, E, I, O are exhibited in the notation of elective symbols are analogous with those of pure language, i.e. with the forms which human speech would assume, were its rules entirely constructed upon a scientific basis. In a vast majority of the propositions which can be conceived by the mind, the laws of expression have not been modified by usage, and the analogy becomes more apparent, e.g. the interpretation of the equation

is, the class Z consists of all Xs which are not-Y and of all Ys are not-Xs.
[1] The Mathematical Analysis of Logic, being an Essay towards a Calculus of Deductive Reasoning. Cambridge, MacMillan; London, G. Bell.
[2] The Mathematical Analysis of Logic
[3] There are two ways in which the proposition, No Xs are Ys, can be understood. 1st, In the sense of All Xs are not-Y, In the sense of It is not true that any Xs are Ys, i.e. the proposition "Some Xs are Ys". The former of these are categorical proposition. The latter is an assertion respecting a proposition, and its expression belongs to a distinct part of the elective system. It appears to me that it is the latter sense, which is really adopted by those who refer the negative, not, to the copula. To refer it to the predicate is not a useless refinement, but a necessary step, in order to make the proposition truly a relation between classes. I believe it will be found that this step is really taken in the attempts to demonstrate the Aristotelian rules of distribution.
The transposition of the negative is a very common feature of language. Habit renders us almost insensible to it in our own language, but when in another language the same principle is differently exhibited, as in the Greek, οὺ φημὶ for φημὶ οὺ, it claims attention.
About HackerNoon Book Series: We bring you the most important technical, scientific, and insightful public domain books.
This book is part of the public domain. George Boole (2022). The calculus of logic. Urbana, Illinois: Project Gutenberg. Retrieved October 2022 https://www.gutenberg.org/cache/epub/69512/pg69512-images.html
This eBook is for the use of anyone anywhere at no cost and with almost no restrictions whatsoever. You may copy it, give it away or re-use it under the terms of the Project Gutenberg License included with this eBook or online at www.gutenberg.org, located at https://www.gutenberg.org/policy/license.html.
[story continues]
tags
