Cryptocurrency is the new kid in the block, meaning it has a long and bright future ahead. With more and more acceptance of cryptocurrency, and blockchain usage growing, the price of the legitimate coins will continue to increase in the long term, primarily because we are just now at the ground floor. Having a limited supply of many coins also will increase demand in the future, and as a result, coins that survive have the potential for significant price increases.
On the other hand, trading markets are always volatile. Just look at the hundreds of year old stock market. There will be always fear, uncertainty, and doubt (FUD) in the market and the price will go up and down in the short term. The concerns about crypto aren’t limited to the short-term, though.
Cryptocurrency also carries additional questions about its future. Is China going to ban crypto? Is the United States government cracking down on ICOs? Is cryptocurrency going to become illegal? Will more regulations be introduced? Do we have to pay taxes on crypto? Another hacking of exchanges and millions of dollars lost in the process? There is no shortage of FUD news in cryptoland, but it’s not always bad.
In the short-term, this type of news makes the price of cryptocurrency incredibly volatile, which could be a good thing for swing traders. Long-term, however, regulations and clear tax guidelines give cryptocurrency more legitimacy and makes the market more stable. Ultimately, all that matters is how the FUD affects your ability to turn a profit. Thankfully, there are several signals you can look at to get a sense of where a specific coin is heading.
Given that there is a very high correlation with Bitcoin for almost all other coins, checking historical prices for Bitcoin will give us good ideas about historical cryptocurrency prices [However, always remember that cryptocurrencies and stocks will have unexpected ups and downs]. Following are yearly charts for Bitcoin prices in 2015, 2016, 2017.
Bitcoin Price 2015, 2016, 2017.
As you can see, there has always been volatility in the Bitcoin price. Since it gained some acceptance, however, the price has regularly increased on a yearly basis. If you check Bitcoin’s 2014 price, for instance, the price actually decreased that year. That same pattern applies to new alt-coins as well, especially when they haven’t received the acceptance yet and there is FUD in the market. It’s these times that could be the best opportunity to make a substantial profit.
For instance, if you bought Bitcoin in the beginning 2015, your money would have multiplied ~40 times by the end of 2017. If you check certain alt-coin prices, they have even multiplied 1000 times or more in just one year. Look at Ripple, for example, and you can see that the price multiplied 370 times in 2017 alone.
These are the obvious reasons why HODL is a very good investment opportunity for “good coins.” However, you still have to do your fundamental research to make sure that a coin has future potential and only then can you get benefit from HODL.
Only after you have done your research, monitored coin rankings and social ranking, checked News, YouTube videos, Reddit pages, and Twitter from our coin detail page, should you invest in a coin. You can see from the price volatility that it’s not always the best time to buy or sell. For good coins it’s likely that the price will eventually will go up, but instead of buying or selling at any random time, you can always get more profit by waiting until the perfect time.
It’s a widely accepted fact at this point that HODL is great for long-term investing. However, if you zoom in on any cryptocurrency’s historical price chart, it is obvious just how volatile the market is. Take a look at price changes for Bitcoin during the 3 months from December 2017 to March 2018. The price from the beginning to end of this range is very similar, so if you were holding, you didn’t gain or lose much, but that doesn’t mean there weren’t opportunities to substantially increase your profit.
Bitcoin Price 2 December 2017 to 2 March 2018.
Bitcoin price started at around $11K and went up to $20K, representing an instance where you could have almost doubled your money. Then, it went down to ~$6K and back up again up to around $11K, again another opportunity to essentially double your money. Keep in mind that these are extreme examples and it is very hard to pick the perfect bottom and the perfect peak to make these double gains. But finding those perfect lows and highs isn’t always necessary…

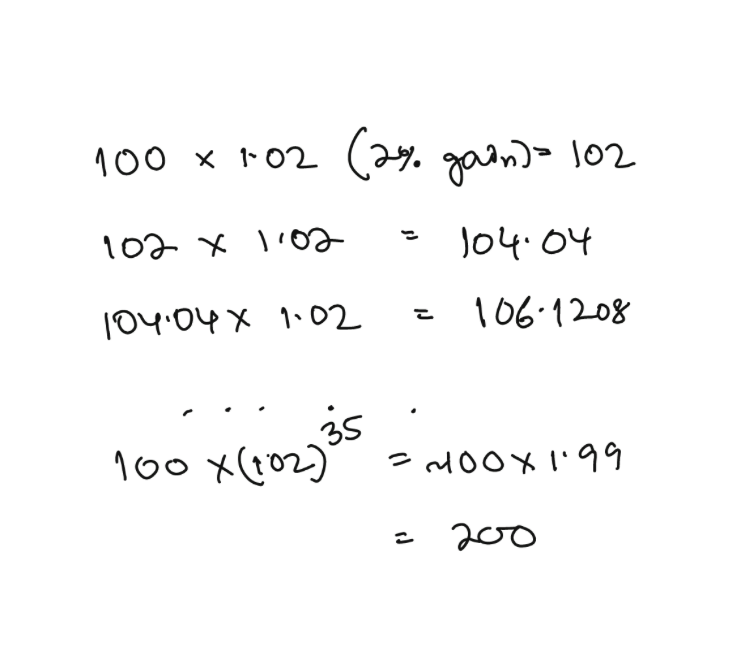
Let us share a secret that day traders / swing traders use. You do not need to find the perfect bottom and the perfect peak. You can easily double your money by just making a consistent smaller gain. Let’s say you can make 2% profit for 35 trades, meaning just one trade with 2% profit everyday for slightly more than a month. In this instance, your money will double (100% gain) because of the beauty of the compound interest. As Benjamin Franklin famously said about compound interest, “Money makes money. And the money that money makes, makes money.”
Photo: mymoneyblog.com
Of course, that’s much easier said than done. Here are just some of the challenges you can face while trying to be successfully swing trade:
- You have to monitor coin prices 24/7. Crypto never sleeps, and neither can you if you want to catch every opportunity to grow your investment.
- No trader can catch every single trading opportunity, but to even catch the majority of the opportunities, you need to monitor coin prices, coin news, and social media buzz and stay ahead of the market. You don’t want to lose your holdings when something completely unexpected happens on the other side of the world, tanking your investments.
- Not all users possess the expertise of day traders / swing traders to make consistent profits, or to average more profits. Just monitoring the coin prices doesn’t mean you will always pick the best trading times. You need to at least understand a few trading indicators, such as RSI, Bollinger Band, MACD, and others.
- Even following the best indicators, however, does not consistently give you a profit. Advanced technologies like AI and deep learning can take things further by factoring in the current coin price, trading indicators, and historical coin prices. The technology can learn patterns and perform what expert human traders can do, and expert traders are a very small amount of total investors.
Another signal platform might be able to give you an AI system based on factors such as the current coin price, trading indicators and historical coin prices, but you are still late if you ignore the social buzz. Social buzz happens first, whether it’s positive or negative, and then the price changes follow. Thus, it’s necessary to be one step ahead of other investors.
To be one step ahead, you need to have an AI system that not just monitors all of the appropriate social media 24/7, but also uses advanced AI to extract appropriate information first to calculate the social buzz appropriately.
CoiningSignals
CoiningSignals solves all these problems with a premium service. It will monitor everything for you, 24 hours per day, 7 days per week. Furthermore, it uses advanced AI and Deep Learning models to predict if the price is going to go up or down at a given time.
To make these predictions, CoiningSignals uses a coin’s current price, trading indicator values, and the historical prices of all coins. It also considers the current social media buzz, the change in social media buzz, sentiment in social media, and change in sentiment in social media to be one step ahead.
CoiningSignals doesn’t just predict when a coin price might go up or down, though. It also predicts the expected gain. For instance, if you are monitoring more than one coin, then you can trade with the coin that has the maximum potential for profits. You can also ignore some signals if the predicted gain is below your expectations.
Remember, you have to pay a transaction fee and a small portion of the coin will not be tradable when you sell it. This is because there is a minimum number of units for each coin that is tradable. After the exchange charges the trading fee, you end up with a small portion that can not be traded back immediately until you accumulate enough. The good thing is, if you are trading only between good coins, you are accumulating those coins too. Thus, you want to find the profit margin that covers these fees and still makes the transaction worth it for you. Remember, though, that higher gains are riskier and not as frequent.
CoiningSignals considers the transaction fees when providing a signal, making the most profit possible.
For a trader, it can’t be any simpler [well, it can be with our CoiningBot — but more on that later]:
- Use the free CoiningKit coin ranking, social ranking and coin detail page to decide which coins you want to invest in.
- Use our CoiningPortfolio to identify how much you need to invest in which coins.
- Subscribe to the coins for Signals for a monthly fee per coin.
- CoiningSignals sends you trading signals at the best times to buy and sell.
- Trade with complete security, without sharing your coins with anyone else, and only paying a minimal subscription fee per coin.
CoiningSignals is the perfect tool to help you find the best times to buy and sell a coin. Despite some of the FUD in the market, there are opportunities all of the time to be a profitable crypto investor. CoiningSignals, combined with the suite of CoiningAI tools and CoiningAI Portfolio Builder, makes it easier than ever to invest in cryptocurrency.
About Coining.AI
Coining.AI is an Artificial Intelligence and Blockchain Driven Cryptocurrency Trading Platform that provides users with tools such as coin rankings, coin social buzz rankings, short-term good buy suggestions, and detailed coin and token information. With these tools, we help cryptocurrency investors stay one step ahead of the rest of the market. Furthermore, Coining.AI provides access to trading signals, builds short term and long term crypto portfolios, trades using blockchain based trading bots, and features a blockchain based trading bot marketplace. These features allow investors to automate their cryptocurrency trading activity and lock in maximum profits.
These CoiningAI products help solve many of the aforementioned problems facing cryptocurrency investors today. Our collection of coin rankings and lists make it easier for investors to know coins that are overvalued and undervalued, while our aggregation of news and social media information help investors stay on top of the fast-paced cryptocurrency industry.
By using advanced NLP (Natural Language Processing) technologies, our proprietary platform analyzes and ranks social media streams, market movements, conversations, and more. Our platform also applies Deep Learning (Artificial Intelligence) algorithms to those datasets, and monitors historical coin prices and technical indicators. With that technology, we are able to provide accurate and timely signal intelligence to our users, allowing for decision making and trading.
What makes us unique
We are the first Blockchain based crypto trading bot marketplace. We monitor and extract data using state-of-the-art NLP technologies, along with historical coin prices and technical indicators. Data scientists build the prediction model without needing to worry about building a state-of-the-art system to aggregate appropriate social buzz.
All of our other pieces (coin ranking, signals, portfolio builder) help build a better trading bot that doesn’t just trade for short-term profits, but rather one that takes advantage of cryptocurrency still being at the ground floor to build a long-term portfolio.
A portion of the money we raise and the profits we generate from our platform will go towards social ventures such as empowering struggling families, empowering and helping women join cryptoland, and other social ventures.
CoiningAI Products
CoiningKit — Use CoiningKit to be one step ahead of the rest of the market.
The crypto market can be incredibly overwhelming to new investors, and even some seasoned investors. With so much information, so much data, and so many coins, it’s hard to know what’s legitimate and what’s not. CoiningKit provides coin rankings, coin social buzz rankings, short term good buy suggestions, and access to detailed coin and token information, and many other tools for traders to be one step ahead of the rest of the market. Read more.
CoiningFeed — Use CoiningFeed.com to have all of the latest crypto news and social posts at your fingertips.
When investing in crypto, having your finger on the pulse of the latest news and information is crucial. A successful investor must always stay informed, but with so much information available, it’s hard to know where to look to find those details. CoiningFeed serves as a one-stop location for all of the top crypto news, Tweets, Reddit pages, videos, and more. Read more.
CoiningSignals — The most intelligent tool for cryptocurrency investing.
CoiningSignals is a cryptocurrency trading tool that uses artificial intelligence and machine learning to keep investors informed. By analyzing factors such as social media sentiment, historical pricing and technical indicators, CoiningSignals is able to accurately predict if a coin’s price is going to rise or fall, and notify investors of when they should buy or sell. The proprietary CoiningSignals platform is intelligent and accurate, ensuring that users always get the most return on their investment. Read more.
CoiningPortfolio — The most versatile way to create a well-balanced cryptocurrency portfolio, and share it on the Portfolio Marketplace.
Diversifying your holdings is key for any investor, whether it’s cryptocurrency or stocks. With CoiningPortfolio, we help you create a well-balanced portfolio that’s tailored towards your timeframe, your risks, and your availability. CoiningAI’s portfolio tools are crucial to locking in profit and being a successful, risk-averse cryptocurrency investor.
Additionally, the Portfolio Marketplace will allow users to share their custom portfolios with other CoiningAI investors, opening up access to diverse trading portfolios to all users, and offering creators another way to profit from their cryptocurrency interest. Read more.
CoiningBot — The complete trading bot with advanced technologies and a portfolio builder.
CoiningBot is the most advanced trading bot on the market. By using the existing CoiningAI Natural Language Processing (NLP) and Deep Learning technology, CoiningBot is able to analyze the latest social media data and the most recent news, putting it far ahead of other trading bots. We use our intelligent Tools, Feeds, Signals, and Portfolio Builder platforms to help make trading easier for you. CoiningBot is perfect for skilled and novice investors alike and can help anyone build a diverse, and most importantly, profitable portfolio. Read more.
CoiningBot Marketplace — Most advanced blockchain based trading bot marketplace to combine the best of CoiningAI’s state-of-the-art platform and the best data scientists around the world.
The Blockchain based CoiningAI Trading Bot Marketplace takes the incredible artificial intelligence and natural language processing platforms that make our CoiningBot so powerful, and makes the realtime coin price and social buzz data available to the best data scientists around the world to build other powerful bots. This gives the investors in our platform more options to choose from. CoiningBot Marketplace is perfect for skilled and novice investors alike and can help anyone build a diverse, and most importantly, profitable portfolio. Read more.
[story continues]
tags
