The Calculus of Logic by George Boole, is part of the HackerNoon Books Series. You can jump to any chapter in this book here. General Solution of Elective Equations.
General Solution of Elective Equations.
are here the moduli.

the coefficients of which we shall still term the moduli. The law of their formation will readily be seen, so that the general theorems which have been given for the solution of elective equations of two and three symbols, may be regarded as examples of a more general theorem applicable to all elective equations whatever. In applying these results it is to be observed, that if a modulus assume the form 0/0 it is to be replaced by an arbitrary elective symbol w, and that if a modulus assume any numerical value except 0 or 1, the constituent of which it is a factor must be separately equated to 0. Although these conditions are deduced solely from the laws to which the symbols are obedient, and without any reference to interpretation, they nevertheless render the solution of every equation interpretable in logic. To such formulae also every question upon the relations of classes may be referred. One or two very simple illustrations may suffice[6].
(1) Given


Since 1 - z represents a class, not-Z, and satisfies the index law

as is evident on trial, we may, if we choose, determine the value of this element just as we should determine that of z.
Let us take, in illustration of this principle, the equation y=vx, (All Ys are Xs), and seek the value of 1 - x, the class not-X.

the solution will thus assume the form

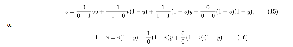
The infinite coefficient of the second term in the second member permits us to write

the coefficient 0/0 being then replaced byw, an arbitrary elective symbol, we have

or

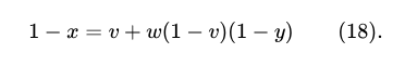
We may remark upon this result that the coefficient v + x (1 - v) in the second member satisfies the condition

as is evident on squaring it. It therefore represents a class. We may replace it by an elective symbol u, we have then

the interpretation of which is
All not-Xs are not-Ys.
This is a known transformation in logic, and is called conversion by contraposition, or negative conversion. But it is far from exhausting the solution we have obtained. Logicians have overlooked the fact, that when we convert the proposition All Ys are (some) Xs into All not-Xs are (some) not-Ys there is a relation between the two (somes), understood in the predicates. The equation (18) shews that whatever may be that condition which limits the Xs in the original proposition,—the not-Ys in the converted proposition consist of all which are subject to the same condition, and of an arbitrary remainder which are not subject to that condition. The equation (17) further shews that there are no Ys which are not subject to that condition.

[6] The author has only provided one example in this particular case.
[7] This conclusion may be illustrated and verified by considering an example such as the following.
Let x denote all steamers, or steam-vessels,
y denote all steamers, or armed vessels,
z denote all vessels of the Mediterranean.
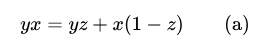
Equation(a) would then express that armed steamers consist of the armed vessels of the Mediterranean and the steam-vessels not of the Mediterranean. From this it follows—
(1) That there are no armed vessels except steamers in the Mediterranean.
(2) That all unarmed steamers are in the Mediterranean (since the steam-vessels not of the Mediterranean are armed). Hence we infer that the vessels of the Mediterranean consist of all unarmed steamers; any number of armed steamers; and any number of unarmed vessels without steam. This, expressed symbolically, is equation (15).
About HackerNoon Book Series: We bring you the most important technical, scientific, and insightful public domain books.
This book is part of the public domain. George Boole (2022). The calculus of logic. Urbana, Illinois: Project Gutenberg. Retrieved October 2022 https://www.gutenberg.org/cache/epub/69512/pg69512-images.html
This eBook is for the use of anyone anywhere at no cost and with almost no restrictions whatsoever. You may copy it, give it away or re-use it under the terms of the Project Gutenberg License included with this eBook or online at www.gutenberg.org, located at https://www.gutenberg.org/policy/license.html.
[story continues]
tags

