The Bitcoin halving is slated for sometime around April 19th, 2024.
As you might have heard, it follows the Bitcoin supply equation;

which is a geometric series terminating after 32 divisions or halvings.
In April 2024, we shall have the 4th halving, taking us from 6.25 to 3.125 BTC mined per 10 minutes.
The last satoshi shall be mined 32 * 4 years from 2009, which shall be the year 2137.
Below is a curve I made in MS Excel modeling the Bitcoin supply equation;

Interestingly, however, 3 other equations look like the Bitcoin halving.
One equation is behind the most profitable options trading algorithm in the world,
one is behind the most powerful energy resource in the world,
and one is behind the ability to find the energy in any physical system.
More on these below:
1. The Black-Scholes equation

The Black-Scholes equation is behind most of the profitable options trading in the world, including Exchange Traded Funds (ETFs) which can be traded like regular options. Multinational companies like BlackRock, which manages trillions of dollars in assets, recently launched a successful Bitcoin ETF product for its investors.
Notice the term at the end,

Assume an equilibrium situation with:

Let the constant number be 5.
Thus, we have:

Let r be 2 and model as,

When graphed, this behaves like the Bitcoin halving, as seen below.

Here are similar graphs from other people’s research.

2. The Radioactive Decay equation
Radioactivity is the spontaneous decay of heavy, unstable atomic nuclei to form stable nuclei.
It is the power behind nuclear fission, the most powerful energy resource on the planet. Interestingly, while radioactivity is so good at releasing gargantuan amounts of energy, Bitcoin is good at absorbing it.
But even more, both the Bitcoin halving and the radioactive decay process are exponential functions whose graphs grow in the same way.
Consider the radioactive decay equation;

The formula is easy enough to be taught to 17-year-olds studying A-level mathematics in High Schools.
Now, A represents the amount left. If this was Bitcoin, A would be the bitcoins left to be mined.
How about if we track the amount decayed, just like the bitcoins already mined?
Easy enough.
Subtract A from A_0, thus;

Which we can see is similar to what we had before with the Black-Scholes equation.
Taking A_0 = 5 and λ = 2, it is the same deal with us modelling y = 5 (1 - e^(-2x) ), hence a similar graph.
3. The Hamiltonian
The Hamiltonian, H of a mechanical system is defined as the amount of energy contained in the system.
While Bitcoin might be a digital computational system, from what Alan Turing describes in his thesis on a Universal Turing Machine, we can represent any computational system as a mechanical system.
Therefore, Bitcoin can be represented as a mechanical computational system.
Not that we have the resources to do it on earth.
By further extension, classical mechanics can be described in terms of quantum mechanics, hence Bitcoin is a quantum-mechanical computational system.
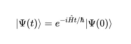
Thus, Bitcoin has a Hamiltonian unknown to us, that can describe its minimum workings absent external complexities and fluctuations in the number of users and miners joining and leaving the network.
At the nanoscale, where Bitcoin’s digital dance of the halving resides, the simplest Hamiltonian is the quantum Hamiltonian, represented by hat{H} below.

We can see this Hamiltonian operator is part of Schrödinger’s wave equation, fundamental to relating the Hamiltonian with the state of a quantum system at time t ;

Notice the term:

which is similar to:

above.
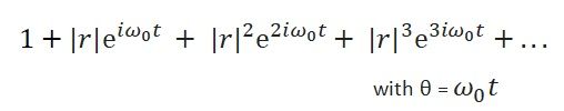
Using Euler’s formula,

The introduction of the imaginary i component has thrown us off the beaten path of a nice exponential leveling off like the Bitcoin supply equation. We instead get a circle with an angle given by Ht and radius R = 1.
Now let radius R = 1, and take |r| e^(-iθ) to be the common ratio of a geometric series with r being a complex number, |r| < 1 and first term
a = 1.
The resulting geometric series;

can be modeled as a Fourier series hence the graphic below with r = 0.5, a = 1 forming a circle of radius R = 4/3.
https://en.wikipedia.org/wiki/File:Complex_geometric_series_animation.ogv?embedable=true#filelinks
But what if radius R = 1, as we want? What would common ratio r be?
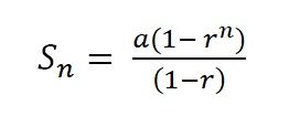
First, we need to know that for the general form of a geometric progression;
a + ar + ar^2 + ar^3 + ar^4 + …
the sum to n terms,

for |r| < 1. The sum to n terms then converges to a unique value as n tends to infinity. This is because r^n tends to 0.
Hence, we can summarise as below;

Note: Because Bitcoin's supply is capped at 21,000,000 it moves in a circle!
This via circularity leveraging its monetary transactions velocity, V, in Irving Fischer's equation → MV = PT
***
More wonders
From https://en.wikipedia.org/wiki/Geometric_series the following are related to the Bitcoin halving;
- The expansion of the universe, where the common ratio r is defined by Hubble's constant.
- The decay of radioactive carbon-14 atoms, where the common ratio r is defined by the half-life of carbon-14.
Last but not least,
- One of my Hackernoon post’s viewership statistics.

[story continues]
tags
